Этот баннер — требование Роскомнадзора для исполнения 152 ФЗ.
«На сайте осуществляется обработка файлов cookie, необходимых для работы сайта, а также для анализа использования сайта и улучшения предоставляемых сервисов с использованием метрической программы Яндекс.Метрика. Продолжая использовать сайт, вы даёте согласие с использованием данных технологий».
Политика конфиденциальности
|
|
|
Прямая и обратная геодезические задачи на эллипсоиде (с#)
#40140336
![]() Ссылка:
Ссылка на сообщение:
Ссылка с названием темы:
Ссылка на профиль пользователя:
Ссылка на вложение:
|
||||||||||||||||
|---|---|---|---|---|---|---|---|---|---|---|---|---|---|---|---|---|
|
#18+
Программировал по Б.Б.Серапинасу ГЕОДЕЗИЧЕСКИЕ ОСНОВЫ КАРТ Геодезические координаты Лекция 4 и Ю.Н.Гавриленко Основы сфероидической геодезии. Обратная задача -- удалось освоить версию рассчитанную на до 30 километров. Шо оно насчитает при пересечение экватора или гринвичского меридиана, или 180 меридиана -- не проверял. И так все надоело. На 25 - 30 километрах и азимуте 45 есть нарушение по обещаемой точности -- ошибка около 0.04 секунды. ... |
||||||||||||||||
|
:
Нравится:
Не нравится:
|
||||||||||||||||
| 12.03.2025, 17:25 |
|
|||||||||||||||
|
Прямая и обратная геодезические задачи на эллипсоиде (с#)
|
|||
|---|---|---|---|
|
#18+
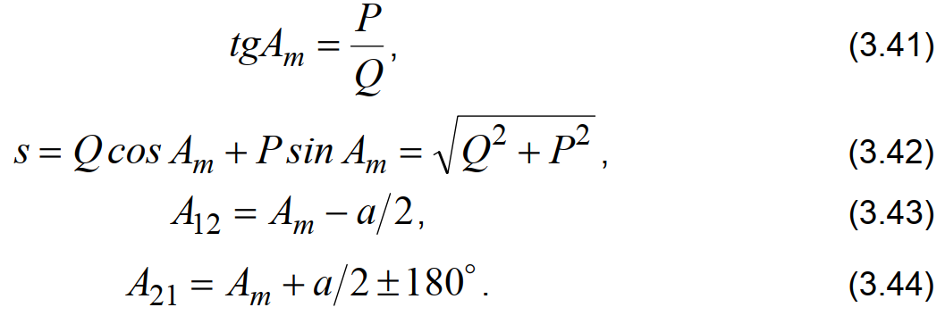
исходники библиотеки обработки аргументов командной строки лежат тут: https://resql.ru/forum/topic.php?fid=71&tid=2187212 compileA.exe.cmd -- это компилируется сборка. test.a.exe.cmd -- это примеры выполнения приложения. tst -- каталог с тестами, которые выполнял. docs -- Серапинас и Гавриленко. точки которые были использованы для тестирования в разных формах: градусы минуты секунды, радианы и просто градусы. 05°09'23.8326" # 0.09 -> 5.156620156177
05°40'20.2158" # 0.099 -> 5.672282171795
05°43'46.4806" # 0.1 -> 5.729577951308
05°47'12.7454" # 0.101 -> 5.786873730821
06°18'09.1287" # 0.11 -> 6.302535746439 Получения прямого и обратного азимутов у этих научных деятелей мне было не понятно от слова вообще.Допиливал методом научного втыка ... |
|||
|
:
Нравится:
Не нравится:
|
|||
| 12.03.2025, 17:29 |
|
||
|
Прямая и обратная геодезические задачи на эллипсоиде (с#)
#40140338
![]() Ссылка:
Ссылка на сообщение:
Ссылка с названием темы:
Ссылка на профиль пользователя:
Ссылка на вложение:
|
||||||||||||||||
|---|---|---|---|---|---|---|---|---|---|---|---|---|---|---|---|---|
|
#18+
Вот это интуитивно очевидно и всем понятное указание заняло у меня две недели жизни. Когда отнимать, когда прибавлять и шо интересно куда? А у меня получилось, что иногда надо отнимать-прибавлять от прямого азимута, а не от обратного (а2) Код: C# 1. 2. 3. 4. 5. 6. 7. 8. 9. 10. 11. 12. 13. 14. 15. 16. 17. 18. 19. 20. 21. 22. ... |
||||||||||||||||
|
:
Изменено: 12.03.2025, 17:48 - tchingiz
Нравится:
Не нравится:
|
||||||||||||||||
| 12.03.2025, 17:37 |
|
|||||||||||||||
|
Прямая и обратная геодезические задачи на эллипсоиде (с#)
#40140339
![]() Ссылка:
Ссылка на сообщение:
Ссылка с названием темы:
Ссылка на профиль пользователя:
Ссылка на вложение:
|
||||||||||||||||
|---|---|---|---|---|---|---|---|---|---|---|---|---|---|---|---|---|
|
#18+
... |
||||||||||||||||
|
:
Нравится:
Не нравится:
|
||||||||||||||||
| 12.03.2025, 17:39 |
|
|||||||||||||||
|
Прямая и обратная геодезические задачи на эллипсоиде (с#)
|
|||
|---|---|---|---|
|
#18+
Ааа, я еще самовольно удалил умножение на ро два штриха в формулах гдето было. Какие то две недели поисков (лет пять назад) позволили обнаружить, что ро два штриха -- количество секунд в радиане. По формулам приходилось складывать радианы и секунды в приращении не масштабируя -- (2 парсека и 3 миллиметра ) получалась хрень на выходе. Когда отмаштабировал (приращение делил на ро два штриха) начало получаться нормально. Короче, умножение на это ро два штриха похе удалил совсем. ... |
|||
|
:
Нравится:
Не нравится:
|
|||
| 12.03.2025, 17:46 |
|
||
|
Прямая и обратная геодезические задачи на эллипсоиде (с#)
|
|||
|---|---|---|---|
|
#18+
пару тестов тут проверял https://planetcalc.ru/722/ ... |
|||
|
:
Нравится:
Не нравится:
|
|||
| 16.03.2025, 13:25 |
|
||
|
Прямая и обратная геодезические задачи на эллипсоиде (с#)
|
|||
|---|---|---|---|
|
#18+
Промежуточные точки - это хорошо. ... |
|||
|
:
Нравится:
Не нравится:
|
|||
| 25.03.2025, 11:22 |
|
||
|
Прямая и обратная геодезические задачи на эллипсоиде (с#)
#40140447
![]() Ссылка:
Ссылка на сообщение:
Ссылка с названием темы:
Ссылка на профиль пользователя:
Ссылка на вложение:
|
||||||||||||||||
|---|---|---|---|---|---|---|---|---|---|---|---|---|---|---|---|---|
|
#18+
Хороший набор калькуляторов. Сразу кинулся искать калькулятор сумерек, но не нашел. Зато нашел грамотное определение сумерек.
Цитата [игнорируется] Первый этап называется гражданскими сумерками. Это время, когда еще достаточно светло, чтобы работать вне помещения без искусственного освещения. Концу гражданских сумерек соответствует зенитный угол в 96 градусов, после чего начинаются навигационные сумерки. Навигационные сумерки — это время, когда на воде все еще заметна линия горизонта. Концу навигационных сумерек соответствует зенитный угол в 102 градуса, после чего начинаются астрономические сумерки. Астрономические сумерки — это время, когда Солнце все еще является источником света и мешает видимости самых слабых звезд. Для обычного наблюдателя это время неотличимо от ночи. Концу астрономических сумерек соответствует момент, когда Солнце полностью прекращает быть источником света, и это зенитный угол в 108 градусов. ... |
||||||||||||||||
|
:
Нравится:
Не нравится:
|
||||||||||||||||
| 25.03.2025, 11:46 |
|
|||||||||||||||
|
Прямая и обратная геодезические задачи на эллипсоиде (с#)
#40140487
![]() Ссылка:
Ссылка на сообщение:
Ссылка с названием темы:
Ссылка на профиль пользователя:
Ссылка на вложение:
|
||||||||||||||||
|---|---|---|---|---|---|---|---|---|---|---|---|---|---|---|---|---|
|
#18+
Посчитал отклонения по расстоянию и азимуту (devS, devA) для парного применения обеих функций это код Код: C# 1. 2. 3. 4. 5. 6. 7. 8. 9. 10. 11. 12. 13. 14. 15. 16. 17. 18. 19. 20. 21. 22. 23. 24. 25. 26. 27. В моей реализации, на 100к тестах (случайное координата, случайное расстояние до 80км или до 30км, случайный азимут) получились такие отклонения: 80 км # maximum deviation: distance(meters)/azimut (degree): 0.8043/0.0005182 # average deviation: distance(meters)/azimut (degree): 0.0500/0.0000392 30 км # maximum deviation: distance(meters)/azimut (degree): 0.0439/0.0000747 # average deviation: distance(meters)/azimut (degree): 0.0027/0.0000056 1) У Серапинаса ошибка в секундах 0.02 секунды это 0.0000056 градуса 2) Про 30 км есть отдельная оговорка, дескать этими формулами считают до 30 км ... |
||||||||||||||||
|
:
Изменено: 01.04.2025, 20:28 - tchingiz
Нравится:
Не нравится:
|
||||||||||||||||
| 01.04.2025, 20:27 |
|
|||||||||||||||
|
Прямая и обратная геодезические задачи на эллипсоиде (с#)
#40140571
![]() Ссылка:
Ссылка на сообщение:
Ссылка с названием темы:
Ссылка на профиль пользователя:
Ссылка на вложение:
Ссылка на вложение 2:
|
|||||||||||||||||||
|---|---|---|---|---|---|---|---|---|---|---|---|---|---|---|---|---|---|---|---|
|
#18+
Попробовал потестировать функции алгебраическим способом. Взял точку, расстояние и азимут-- получил вторую точку. Потом обратной задачей между двумя точками получил новое расстояние и азимут Код: C# 1. 2. 3. 4. 5. 6. 7. 8. 9. 10. 11. 12. 13. 14. 15. 16. 17. 18. Зафиксировал азимут -- перебираю разные расстояния до 30 км. ... |
|||||||||||||||||||
|
:
Нравится:
Не нравится:
|
|||||||||||||||||||
| 12.04.2025, 21:06 |
|
||||||||||||||||||
|
Прямая и обратная геодезические задачи на эллипсоиде (с#)
#40140572
![]() Ссылка:
Ссылка на сообщение:
Ссылка с названием темы:
Ссылка на профиль пользователя:
Ссылка на вложение:
Ссылка на вложение 2:
|
|||||||||||||||||||
|---|---|---|---|---|---|---|---|---|---|---|---|---|---|---|---|---|---|---|---|
|
#18+
... |
|||||||||||||||||||
|
:
Нравится:
Не нравится:
|
|||||||||||||||||||
| 12.04.2025, 21:07 |
|
||||||||||||||||||
|
Прямая и обратная геодезические задачи на эллипсоиде (с#)
|
|||
|---|---|---|---|
|
#18+
Частота увеличивается при удалении от экватора. На широте 65 график нарисовать не удается -- сплошной цвет. Это возле полюса функция превратится в функцию Дирихле, станет разрывной и не гладкой. И будет выдавать всякую хрень на соседних точках. ... |
|||
|
:
Нравится:
Не нравится:
|
|||
| 12.04.2025, 21:09 |
|
||
|
|

start [/forum/topic.php?fid=68&tid=2187219]: |
0ms |
get settings: |
11ms |
get forum list: |
14ms |
check forum access: |
4ms |
check topic access: |
4ms |
track hit: |
43ms |
get topic data: |
12ms |
get forum data: |
2ms |
get page messages: |
49ms |
get tp. blocked users: |
2ms |
| others: | 279ms |
| total: | 420ms |

| 0 / 0 |
